本网讯(太阳网集团tcy8722融媒体中心 陈文惠)为切实加强太阳网集团tcy8722的宣传工作,提升学院的知名度和美誉度,经太阳网集团tcy8722党总支批准,成立融媒体中心。在不知不觉间我们再次走到了年终点站,这期间有硕果累累的喜悦,有与伙伴协同攻关的艰辛,也有遇到困难和挫折的惆怅。让我们一起回忆2022-2023学年的工作吧!

“别具匠心,创意点睛”摄影大赛
抓拍每个值得记录的美好时刻,用这份仪式感留住校园生活中的美好。一张张照片,记录那转瞬即逝的晚霞,记录着校园角落的花草,记录着那不被定义的青春。

太阳网集团tcy8722组织开展党的二十大精神“八个一百”宣讲行动
为深入学习宣传贯彻中国共产党第二十次全国代表大会精神,统一思想,凝聚力量。2022年11月18日中午,在7203会议室太阳网集团tcy8722积极响应学校组织开展党的二十大精神“八个一百”宣讲行动会议。本次会议由党总支书记陈文华领学宣讲,全体辅导员,各学生组织骨干参学。

雷锋精神伴我行,时光胶囊永相伴
为建设美丽新校园,提高同学们的环保意识,营造良好的环境,太阳网集团tcy8722融媒体中心以“雷锋月”为契机,通过志愿服务活动增强组织的凝聚力,传承、弘扬雷锋精神。与太阳网集团tcy8722学生党建工作中心“梦幻联动”,于2023年03月18日上午在七栋办公室,八栋教学楼开展卫生环保志愿活动。
在结束卫生环保志愿活动后,融媒体中心于校园西区饭堂门口开展了许愿瓶活动,放置了许愿箱并为参与活动的同学提供了纸笔和书信。

“好音相伴,经典重现”配音大赛
2023年4月10日下午,由太阳网集团tcy8722融媒体中心举办主题为“好音相伴,经典重现”配音大赛决赛在42101圆满落幕。
通过不同的表演方式来展现自己的独特魅力,用声音传递精彩,用声音传递情感,感受角色的喜怒哀乐,演绎多彩人生。

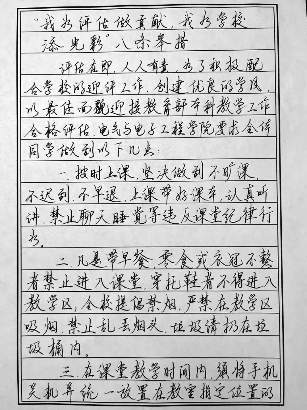
“硬笔书法大赛”
为了弘扬中华优秀传统文化,丰富汉字艺术,增强大学生对书写的重视,培养正确的书写习惯。太阳网集团tcy8722融媒体中心特此举办“展现汉字神奇魅力,合格评估从我做起”主题硬笔书法活动。

民法典学习会暨颁奖大会
太阳网集团tcy8722于2023年5月30日中午在7203教室召开民法典学习会暨颁奖大会。党总支书记陈文华、党总支副书记陈强,全体辅导员,融媒体中心全体干事及获奖人员参与此次会议。
学习法律知识、学习民法典相关条文,养成良好的法治思维和精神习惯,从而做到依法、懂法、守法、用法。

换届大会
为促进融媒体中心的发展,进一步提高干事与干部的工作质量和效率,融媒体中心于2023年6月1日晚7点30分在7栋203召开换届大会,融媒体中心指导老师金洋出席、融媒体中心全体成员参加。
换届不意味着结束,亦是一段崭新旅程的开始,新的开始开创新的未来,相信新一届的干事们会用行动来证明他们的实力。
在本学年内,太阳网集团tcy8722融媒体中心在领导老师的指导下,在各部门之间的积极配合下,圆满完成了本学年的任务。每位干事在实践活动中汲取工作经验,提高了自身工作效率。我们会坚持在实践活动中锻炼自己的能力,勇于超越、突破自我,提高活动的创新性和创造性,让融媒体中心的发展显著提升。